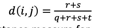
similarity measure for asymmetric binary variables

Binary Attributes

Symmetric Binary Dissimilarity

Asymmetric Binary Dissimilarity