
if if (Symmetrical) (Triangle inequality, going directly from object to object in space is no more than making a detour over any other object )
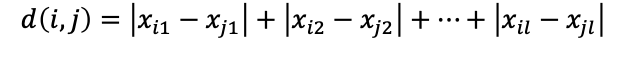
= 1 : ( norm) Manhattan distance
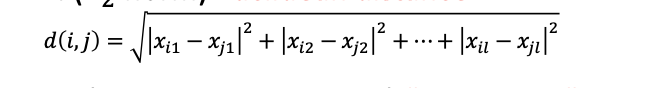
= 2 : ( norm) Euclidean distance
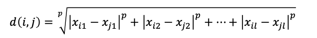
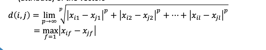
: ( norm, norm) Supremum distance
Maximum distance between two objects
